道可特私募 | 专题:公募REITs新规重点条款解读(之三)——风险防范篇
来源: 道可特律所 时间: 2020-05-11 09:39:06 作者: 乔兆姝、陈欣然
摘要:2020年4月30日,中国证监会与国家发展改革委联合发布了《关于推进基础设施领域不动产投资信托基金(REITs)试点相关工作的通知》(以下简称《通知》),标志着境内基础设施领域公募REITs试点正式起步。同日,为有效盘活基础设施存量资产,增强资本市场服务实体经济质效,丰富资本市场投融资工具,根据《通知》,中国证监会起草了《公开募集基础设施证券投资基金指引(试行)》(征求意见稿,简称《指引》),目前正在向社会公开征求意见。
道可特私募团队将发布系列文章对《通知》和《指引》进行系列深度解读,第一篇将对基础设施领域公募REITs的交易内容进行解读,第二篇将主要讲解基金管理人与托管人专业胜任要求、专业机构的作用,第三篇将以公募基金投资人的角度出发,分析基础设施证券资产端中的风险。敬请持续关注道可特私募团队。
本文作为系列解读中的第三篇,将对基础设施领域公募REITs中常见的风险进行解读。
基础设施领域公募REITs既能有效盘活存量资产,形成良性投资循环,提升直接融资比重,降低企业杠杆率;又能拓展新的投资领域,使得广大公众投资者配置基础设施资产成为可能,为居民提升财产性收入提供高质量的大类资产。但是目前我国基础设施领域公募REITs相关法律法规还未完善,且金融市场本身存在诸多不确定性因素,导致其中存在的风险难以得到有效防范。此次我国推出基础设施领域公募REITs,其市场还处于一个起步阶段,若不能有效的控制风险,就会挫伤投资者的投资积极性,影响政策的实施效果,甚至导致风险从资产端传导至每一个投资人。只有做好基础设施领域公募REITs风险控制工作,才能营造一个健康的投资环境,降低投资风险,维护投资者的利益,激发投资者的投资行为,从而活跃基础设施领域公募REITs市场。
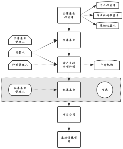
在本次系列解读(二)中,已经分析了公募REITs的产品结构(如下图)。《通知》和《指引》中对于基础设施公募REITs进行了一系列制度安排来控制来自“人”和“资产”的风险。

一、以产品结构角度分析基础设施领域公募REITs中的风险
根据上图可知,公募REITs中的产品结构中存在的风险主要来自以下几个方面:
(一)来自公募基金投资端的风险
公募基金投资者主要来自三个方面:个人投资者、专业机构投资者、原始权益人。
《指引》第十五至二十条主要规定了基础设施基金份额的销售安排,将基础设施基金份额分为了两部分:80%部分为网下发售部分,20%为战略配售。对于20%战略配售部分,《指引》明确应由原始权益人及相应专业机构投资者认购,原始权益人必须认购部分基础设施基金份额且持有期限不低于5年,即原始权益人承担部分自留风险,其他认购战略配售部分的专业机构投资者持有基础设施基金份额期限不低于1年即可。
根据《通知》和《指引》中的要求,基础设施公募REITs投资者中,专业投资人占比不低于80%(其中包含不低于20%的原始权益人自持);其他投资者不高于20%。这一投资者结构设计实质上是通过要求原始权益自持,将原始权益人和投资者的利益实现绑定,从而控制了投资端的风险。另一方面,公募基金的投资人类型广泛,也为公募基金尽可能发挥募资能力提供了制度基础。
但是,《通知》和《指引》中对于专业投资人占比高达80%的要求,并且还在不同程度上要求了锁定期。这可能会在一定程度上影响基础设施公募REITs在二级市场交易的活跃性和流动性。
(二)来自基金管理人的风险
《指引》第四条中规定:“申请募集基础设施基金,拟任基金管理人应当符合《证券投资基金法》《公开募集证券投资基金运作管理办法》(证监会令第104号)规定的相关条件,并满足下列要求:
(一)公司成立满3年,资产管理经验丰富,公司治理健全,内控制度完善;
(二)设置独立的基础设施基金投资管理部门,配备不少于3名具有5年以上基础设施项目运营或基础设施项目投资管理经验的主要负责人员,其中至少2名具备5年以上基础设施项目运营经验;
(三)具有不动产研究经验,并配备充足的专业研究人员;
(四)具有同类产品或业务投资管理或运营专业经验,且同类产品或业务不存在重大未决风险事项;
(五)财务状况良好,能满足公司持续运营、业务发展和风险防范的需要;
(六)具有良好的社会声誉,在金融监管、工商、税务等方面不存在重大不良记录;
(七)具备健全有效的基础设施基金投资管理、项目运营、风险控制制度和流程;
(八)中国证监会规定的其他要求。
根据《指引》中其他相关规定,基金管理人对基础设施基金负有的职责包括:进行独立、全面的尽职调查、制定完善的尽职调查内部管理制度,聘请财务顾问对拟持有的基础设施项目进行全面的尽职调查。涵盖了基础设施项目的现金流管理、风险审查、项目运营和维护、关联交易控制等各个方面。基础设施基金的收益依赖于基础设施项目的运营和管理,且基金管理人在项目中起着主导性作用,故《指引》中对基金管理人提出了非常高且细致的要求,以控制由于基金管理人管理不善、信披不彻底导致的风险。此次基础设施公募REITs的推出,对于基金管理人来说,是一个不小的挑战。
(三)来自托管人
《指引》第五条规定:“申请募集基础设施基金,拟任基金托管人应当符合《证券投资基金法》《公开募集证券投资基金运作管理办法》规定的相关条件,并满足下列要求:
(一)财务状况良好,资本充足率等风险控制指标符合监管部门相关规定;
(二)具有良好的社会声誉,在金融监管、工商、税务等方面不存在重大不良记录;
(三)具有基础设施领域资产管理产品托管经验;
(四)为开展基础设施基金托管业务配备充足的专业人员;
(五)中国证监会规定的其他要求。基础设施基金托管人与基础设施资产支持证券托管人应当为同一人。
《指引》中不仅对托管人提出了一系列资质的要求,还明确要求基础设施基金托管人与ABS托管人为同一人的要求实质上加强了对现金流的监管,控制了来自托管人的风险。
(四)来自中介机构的风险
《通知》第四条第(三)款规定,“中国证监会制定公开募集基础设施证券投资基金相关规则,对基金管理人等参与主体履职要求、产品注册、份额发售、投资运作、信息披露等进行规范。沪深证券交易所比照公开发行证券相关要求建立基础设施资产支持证券发行审查制度。中国证监会各派出机构、沪深证券交易所、中国证券业协会、中国证券投资基金业协会等有关单位要抓紧建立基础设施资产支持证券受理、审核、备案、信息披露和持续监管的工作机制,做好投资者教育和市场培育,参照公开发行证券相关要求强化对基础设施资产支持证券发行等环节相关参与主体的监督管理,压实中介机构责任,落实各项监管要求”。
基础设施公募REITs项目中,财务顾问、律师事务所、会计师事务所后续应参照IPO的标准开展尽职调查,对中介机构的尽职调查提出了更高的要求。并且,《指引》中对于中介机构的资质、尽职调查也作出了具体细节的要求。同时,对于中介机构的违规行为,《指引》中还明确了责令改正、监管谈话、出具警示函、责令公开说明、责令定期报告、暂不受理与行政许可有关的文件、将相关责任人员认定为不适当从事证券基金服务业务人选等行政监管措施。压实了中介机构责任,在一定程度上控制了因中介机构违规导致的风险。
二、以产品推出流程分析基础设施领域公募REITs中的风险
(一)对基础设施项目提出的要求
《通知》和《指引》中均对基础设施项目提出了要求,包括以下几个方面:项目权属清晰,具有市场化经营模式,发起人及运营企业具备持续经营能力,已具有持续、稳定现金流,现金流来源具备较高分散度,且主要由市场化运营产生,不依赖第三方补贴等非经常性收入。
同时,《指引》中明确在判断基础设施项目权属是否清晰时,也需关注原始权益人是否享有完全所有权或特许经营权,是否存在经济或法律纠纷和他项权利设定;原始权益人企业信用、内部控制等问题。
相较于ABS中对于基础设施项目的准入要求,本次基础设施公募REITs对基础设施项目提出了更高的准入要求,从而控制了项目本身的风险。
(二)对申报流程的规定
《通知》第四项第二款中规定:“各省级发展改革委主要从项目是否符合国家重大战略、宏观调控政策、产业政策、固定资产投资管理法规制度,以及鼓励回收资金用于基础设施补短板领域等方面出具专项意见。各省级发展改革委要加强指导,推动盘活存量资产,促进回收资金用于基础设施补短板项目建设,形成投资良性循环。在省级发展改革委出具专项意见基础上,国家发展改革委将符合条件的项目推荐至中国证监会,由中国证监会、沪深证券交易所依法依规,并遵循市场化原则,独立履行注册、审查程序,自主决策。中国证监会各派出机构、沪深证券交易所与省级发展改革委加强协作,做好项目遴选与推荐工作。”
《通知》中明确,对于基础设施REITs不仅需要经过省级发改委出具意见、国家发改委的推荐,还要由交易所出具无异议函并完成基金业协会备案、证监会注册后才能进行发行。着重强调了事前层层筛选,贯彻了推行试点的审慎原则。
(三)对于基础设施REITs成立的规定
《指引》第二十二条规定:“基金募集期限届满,出现下列情形的,基础设施基金募集失败:
(一)基金份额总额未达到准予注册规模的80%;
(二)募集资金规模不足2亿元,或投资人少于1000人;
(三)原始权益人未按规定参与战略配售;
(四)扣除战略配售部分后,网下发售比例低于本次公开发售数量的80%;
(五)导致基金募集失败的其他情形。基金募集失败的,基金管理人应当在募集期限届满后30日内返还投资人已交纳的款项,并加计银行同期存款利息。
《指引》中明确规定了基础设施REITs成立的条件,为基础设施REITs的成立设立了较高的门槛。一方面体现出需要公募基金管理人有较强的募资能力,另一方面也体现出,要求基金投资人对项目要有一定的了解,具备投资公募基金及ABS综合投资能力。但是在实践中,投资人不少于1000人可能是一个难点,容易导致基金募集失败。
(四)对于信息披露的规定
《指引》中坚持“以信息披露为中心”,确保基础设施项目公开透明。除要求基础设施基金进行常规基金信息披露外,还要求重点披露基础设施项目与原始权益人等信息,包括:一是份额发行环节,基金招募说明书应重点披露基础设施基金整体架构及拟持有特殊目的载体情况,项目基本信息、财务状况、经营业绩分析、现金流预测分析、运营未来展望,原始权益人情况等,并载明审计报告、资产评估报告、财务顾问报告。二是基金运作环节加强重大事项临时披露,发生金额超过基金资产10%以上的交易或损失、项目现金流相比预期减少10%以上、项目购入或者出售等重大事项时,应当及时进行临时信息披露。三是年度报告等基金定期报告设立专章披露基础设施项目运营情况、财务情况、现金流情况等,对外借款及使用情况,相关主体履职及费用收取情况,报告期内项目购入或者出售情况等。
充分、完善的信息披露无疑给公募REITs的持续运作加上了一道安全阀,这也是监管机构引入公募作为基金管理人的原因,公募基金管理相对严格、完善,能够从主体上保证信披制度的实施。另一方面,本次新规要求公募基金管理人与资产支持证券属同一实际控制人,也给证监会监督、管理公募REITs的发行人、管理人及其“家长”实际控制人创造了便利条件。
三、结语
本次《通知》和《指引》的发布,对于基础设施公募REITs来说较之以往有很大突破。但是,亦存在一些难点需要在实践中逐渐克服和完善。比如,基础设施公募REITs对于基金公司的运作能力是一个很大的挑战。运作这一全新业务,对管理机构的运营、维护以及优质底层资产挖掘能力都提出了较高的要求。尤其是在顶层设计方面,公募REITs存在多个层级主体、甚至重复征税的情况,且相关税收政策目前还没有完善。还有公募REITs基金份额的流动性问题。前文提到,《通知》和《指引》中对投资者的结构进行了明确的规定,如果基金的主要持有人都是机构投资者,并且还存在较长的锁定期,那么公募REITs在二级市场的交易可能就不活跃。另一方面,基础设施领域公募REITs能否实现“股”+“债”的有效结合和协同,也是一个待实践检验的问题。
公募REITs的推广是一个循序渐进的过程,今后还要在发展中不断完善,使其成为支持实体经济的中坚力量。
作者丨乔兆姝律师 北京市道可特律师事务所高级合伙人
陈欣然律师 北京市道可特律师事务所律师
可能感兴趣
专业团队
- A
- B
- C
- D
- E
- F
- G
- H
- I
- J
- K
- L
- M
- N
- O
- P
- Q
- R
- S
- T
- U
- V
- W
- X
- Y
- Z
行业研究
更多-
《全国保险行业法律健康指数报告(2015-2017)》《全国保险行业法律健康指数报告(2015-2017)》是由绿法(国际)联盟(GLGA)作为编制单位,北京市道可特律师事务所作为专业支持单位,并在外部专家团队的指导下,共同打造的资本市场行业法律健康指数报告系列研究课题之一。2017年,绿法(国际)联盟(GLGA)成功发布了其资本市场行业法律健康指数报告系列研究课题的首份研究成果,即《私募基金行业法律健康指数报告》。《保险行业法律健康指数报告》是该研究课题的第二份研究成果。 -
《央企(A股)上市公司法律健康指数报告》《央企(A股)上市公司法律健康指数报告》是目前市场上首份以法律健康为导向和评判标准的、研究央企(A股)上市公司发展健康度的指数报告,是第一份由第三方机构推出的带有公益性和学术性的央企(A股)上市公司指数报告,是研究、评价央企(A股)上市公司的一个全新视角与一项创新性举措。报告对央企(A股)上市公司的健康度做了全视角、多层次的分析和解读;报告以动态发展的数据库为支撑,在绿法(国际)联盟(GLGA)的协调下与相关监管部门、治理机构、重要行业组织、经营主体形成互动机制,围绕央企(A股)上市公司开展长期跟踪研究,努力推出对认识央企(A股)上市公司、推进央企(A股)上市公司发展具有重要影响的学术成果。 -
《2018中国保险行业法律健康蓝皮书》《2018中国保险行业法律健康蓝皮书》包括上篇《保险行业法律健康指数报告》及下篇《保险行业法律专题报告》。其中,《保险行业法律健康指数报告》是由绿法(国际)联盟(GLGA)继2018年成功发布首份《保险行业法律健康指数报告》之后连续第二年发布,该指数能够综合、直观反映近三年来保险行业整体的法律健康状态。《保险行业法律专题报告》则结合近年来保险行业及保险资金运用领域法律实务,针对当下行业实务中的热点及疑难复杂问题,从法律视角予以分析和解读,以期为保险行业及保险资金运用的合法合规发展提供一些意见和建议。
品牌活动
更多-
[05/28]道可特20周年系列活动丨科技驱动型企业法律服务创新论坛
在各界同仁的关心和支持下,道可特成都办公室在注册成立的半年里即取得快速发展。作为道可特二十周年系列活动之一,我们拟于2023年5月28日在成都天府新区中央法务产业大厦隆重举办“高端法律服务业创新与发展论坛暨科技驱动型企业法律服务创新论坛”。届时,行业内外的领导嘉宾、专家学者、企业高管、全国知名律所贤达和著名媒体代表,将悉数出席。 -
[05/28]道可特20周年系列活动丨高端法律服务业创新发展论坛
在各界同仁的关心和支持下,道可特成都办公室在注册成立的半年里即取得快速发展。作为道可特二十周年系列活动之一,我们拟于2023年5月28日在成都天府新区中央法务产业大厦隆重举办“高端法律服务业创新与发展论坛暨科技驱动型企业法律服务创新论坛”。届时,行业内外的领导嘉宾、专家学者、企业高管、全国知名律所贤达和著名媒体代表,将悉数出席。 -
[04/22]济南·2023年“世界知识产权日”主题论坛
在第23个世界知识产权日到来之际,作为道可特二十周年系列活动之一,由多家单位主办、北京市道可特(济南)律师事务所承办的2023年“世界知识产权日”主题论坛将在山东济南隆重举行。本届论坛以知识产权高质量发展为导向,以国内知识产权现状分析及相关热点问题为核心,以数据合规、全链条知产法律服务、专利维权、知产价值最大化为抓手,以期推动知识产权服务业全方位高质量发展。届时,来自各级司法部门领导,各级知识产权协会及律师协会领导,行业专家、学者,全国知名媒体人共聚一堂,共聚发展之智,共谋发展之策。
